中国建材总院聚焦“四个面向”,不断加强学科建设,推进基础研究,筑牢创新之基。一批原创成果在高水平期刊发表,彰显了总院对原创策源的坚定信念与不懈追求,小料带您了解一下。
中国建筑材料科学研究总院有限公司所属国检集团研究团队在《Ceramics Internatioal》发表了题为《高熵氧化物陶瓷的合成、微观结构和热物理性能》的论文。
↓论文链接↓
https://www.sciencedirect.com/science/article/abs/pii/S0272884223037914

随着航空航天技术的快速发展,航空发动机的叶片及其它热端部件面临着更加苛刻的极端环境,提高航空发动机热端部件的耐高温氧化能力是目前亟待解决的问题。而针对航空航天用的热端部件在高温、腐蚀等极端环境下的严苛需求,涂敷高温涂层是一种有效的解决方案,这不仅能显著提升其工作温度上限,还能增强其抗环境侵蚀的能力。
迄今为止,应用最广、最成熟的热障涂层是以氧化钇(质量分数6%~8%)部分稳定氧化锆(YSZ)陶瓷层为面层,MCrAIY合金层为粘接层的双层结构热障涂层体系,但是它在高温环境服役过程中存在晶型转变、应变失配等诸多问题。因此,探索出热稳定性能优、隔热性能好、抗腐蚀能力强的新型涂层材料对于航空航天技术的发展具有重要意义。
为此,国检集团万德田团队探讨了高熵稀土锆酸盐陶瓷的致密化合成及微观结构和热物理性能,探索其在热障涂层领域的应用前景,取得的研究成果如下:
研究成果:
1.采用冷等静压结合无压烧结法合成了致密度为93.7%RD的致密高熵氧化物陶瓷,XRD、SEM 和 EDS Mapping结果表明,合成样品为单相烧绿石型结构,元素分布均匀,没有明显的偏析现象。

图1 高熵稀土锆酸盐陶瓷的维氏硬度与压痕载荷的关系
插图为10N载荷下的压痕显微照片

图2 在室温至1200℃温度范围内弹性模量、剪切模量和泊松比随温度的变化情况
2.高熵氧化物陶瓷的本征硬度为7.9 GPa (图1),抗弯强度为178 MPa。从室温到 1200 ℃测得的弹性模量和剪切模量与温度呈负相关,分别从25℃ 时的148.05 GPa和 56.68 GPa降至1200 ℃时的117.44 GPa和44.63 GPa(图2)。
3.基于高熵效应,高熵氧化物陶瓷具有优异的隔热性能。在25°C时,热导率、热容和热扩散系数分别为0.938 W/mK、0.298 J/gK和0.005 cm³/s,而当温度为1200 °C时,相应值分别为1.992 W/mK、0.828 J/gK和0.0041 cm³/s(图3)。
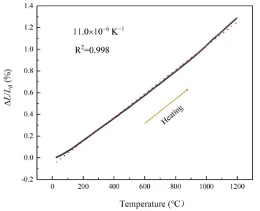
4.高熵氧化物陶瓷的热膨胀系数为11.0×10-6K-1(图4),与镍基超耐热合金的热膨胀系数相近,是TBC领域的理想候选材料。

图3 从室温至1200℃高熵稀土锆酸盐陶瓷的热扩散系数、热导率和热容

图4 从室温至1200℃高熵稀土锆酸盐陶瓷的线性热膨胀系数曲线
主要创新点:
本研究采用冷等静压结合无压烧结法合成出致密度为93.7%RD的高熵氧化物陶瓷。对其微观结构和物理性质进行了系统表征,探索出其本征硬度为7.9 GPa,抗弯强度为187.9 MPa。此外,弹性模量和剪切模量分别从25℃ 时的148.05 GPa和 56.68 GPa下降到1200 ℃时的117.44 GPa和44.63 GPa。在25-1200℃温度范围内,热扩散系数从0.0053cm³/s 降至0.0041cm³/s,热膨胀系数为11.0×10-6K-1。高熵氧化物陶瓷优异的隔热性能及其与镍基超合金相似的热膨胀系数表明,该材料在隔热涂层领域具有广阔的应用前景。
国检集团万德田团队简介:
研究团队自成立以来一直从事陶瓷材料的力学性能和极端环境下的力学性能评价与表征方法及其设备研制等研究工作。近五年共承担“十四五”国家重点研发计划,国家自然基金委重点基金项目等科研项目10余项,先后提出相对法、缺口环法、局部高温加载法等测试新方法,取得多项创新性成果,并制定了相关国际国内标准,形成了相关专用技术和产品。研究成果荣获国家科技进步奖二等奖2项,省部级奖励9项,有力推动了中国建材总院检验测试学科发展。
